Experimental charge radii

4.4. Experimental charge radii#

In this tutorial, you will learn how to extract the experimental charge radii from the toolkit.


Import the libraries that will be employed in this tutorial.

# Import numpy
import numpy as np
# Import matplotlib
import matplotlib.pyplot as plt
# Import nucleardatapy package
import nucleardatapy as nuda
%matplotlib inline

You can simply print out the properties of the nuda’s function that we will use:

# Explore the nucleardatapy module to find the correct attribute
print(dir(nuda.nuc.setupRchExp))
['__class__', '__delattr__', '__dict__', '__dir__', '__doc__', '__eq__', '__format__', '__ge__', '__getattribute__', '__getstate__', '__gt__', '__hash__', '__init__', '__init_subclass__', '__le__', '__lt__', '__module__', '__ne__', '__new__', '__reduce__', '__reduce_ex__', '__repr__', '__setattr__', '__sizeof__', '__str__', '__subclasshook__', '__weakref__', 'isotopes', 'print_outputs']

Get the full list of tables:

tables, tables_lower = nuda.nuc.rch_exp_tables()
print('tables:',tables)
tables: ['2013-Angeli']

Fix a table

table = '2013-Angeli'

Load the experimental radii for the table:

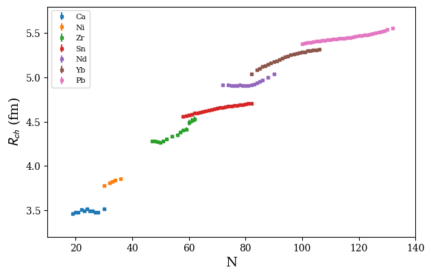
rch = nuda.nuc.setupRchExp( table = table )

Extract the radii for an isotopic chain

Zref = 50
rchIsot = nuda.nuc.setupRchExpIsotopes( rch, Zref = Zref )

print outputs:

print('For isotopes: Zref=',Zref)
print('N:',rchIsot.N)
print('A:',rchIsot.A)
print('Rch:',rchIsot.Rch)
print('Rch_err:',rchIsot.Rch_err)
For isotopes: Zref= 50
N: [58 59 60 61 62 63 64 65 66 67 68 69 70 71 72 73 74 75 76 77 78 79 80 81
 82]
A: [108 109 110 111 112 113 114 115 116 117 118 119 120 121 122 123 124 125
 126 127 128 129 130 131 132]
Rch: [4.5605 4.5679 4.5785 4.5836 4.5948 4.6015 4.6099 4.6148 4.625  4.6302
 4.6393 4.6438 4.6519 4.6566 4.6634 4.6665 4.6735 4.6765 4.6833 4.6867
 4.6921 4.6934 4.7019 4.7078 4.7093]
Rch_err: [0.0029 0.0027 0.0025 0.0024 0.0022 0.0021 0.002  0.0019 0.0019 0.0019
 0.0019 0.002  0.0021 0.0021 0.0022 0.0023 0.0023 0.0026 0.0043 0.0048
 0.0054 0.0058 0.0066 0.0073 0.0076]

plot:

nuda.fig.nuc_setupRchExp_fig( None, tables )
Plot name: None
For Zref: 20
For Zref: 28
For Zref: 40
For Zref: 50
For Zref: 60
For Zref: 70
For Zref: 82
../../_images/500f3b168eff7bf706709a4cc1a221ae9347a8841a0337068f277a20ca326fb1.png