TOV mass probability distribution

8.3. TOV mass probability distribution#

In this tutorial, you will learn how to construct a TOV mass probability distribution using radio and GW astrophysical data.


Import the libraries that will be employed in this tutorial.

# Import numpy
import numpy as np
# Import matplotlib
import matplotlib.pyplot as plt
# Import nucleardatapy package
import nucleardatapy as nuda
%matplotlib inline

You can simply print out the properties of the nuda’s function that we will use:

# Explore the nucleardatapy module to find the correct attribute
print(dir(nuda.astro.setupMtov))
['__class__', '__delattr__', '__dict__', '__dir__', '__doc__', '__eq__', '__format__', '__ge__', '__getattribute__', '__getstate__', '__gt__', '__hash__', '__init__', '__init_subclass__', '__le__', '__lt__', '__module__', '__ne__', '__new__', '__reduce__', '__reduce_ex__', '__repr__', '__setattr__', '__sizeof__', '__str__', '__subclasshook__', '__weakref__', 'print_latex', 'print_output']

Print the list of all sources possibly defining the lower boundary of the TOV mass:

sources_lo_all, sources_lo_lower_all = nuda.astro.masses_sources( )
print('sources:',sources_lo_all)
sources: ['J1614–2230', 'J0348+0432', 'J2215+5135', 'J0740+6620', 'J1600+3053']

Fix the sources to be considered for the lower TOV mass boundary:

sources_lo_dist = [ 'J1614–2230', 'J0348+0432', 'J0740+6620' ]
print('sources lo:',sources_lo_dist)
sources lo: ['J1614–2230', 'J0348+0432', 'J0740+6620']

Print the list of all sources possibly defining the upper boundary of the TOV mass:

sources_up1, sources_up1_lower = nuda.astro.mup_sources( )
print('sources up1:',sources_up1)
sources up1: ['GW170817', 'GW190814']

Consider only one source for the upper boundary (GW170817):

sources_up2 = [ 'GW170817' ]
print('sources up2:',sources_up2)
sources up2: ['GW170817']

Do not consider any upper boundary for the pdf:

sources_up3 = [ ]
print('sources up3:',sources_up3)
sources up3: []

compute the pdf:

prob = nuda.astro.setupMtov( sources_lo_dist, sources_up1 )
prob.print_output( )
Call average for source: GW170817
   hyps: [3, 4]
Call average for source: GW190814
   hyps: [1]

- Print output:
   sources_lo:   ['J1614–2230', 'J0348+0432', 'J0740+6620']
   sources_up:   ['GW170817', 'GW190814']
   mass: [1.5        1.50668896 1.51337793 1.52006689 1.52675585 1.53344482
 1.54013378 1.54682274 1.55351171 1.56020067 1.56688963 1.5735786
 1.58026756 1.58695652 1.59364548 1.60033445 1.60702341 1.61371237
 1.62040134 1.6270903  1.63377926 1.64046823 1.64715719 1.65384615
 1.66053512 1.66722408 1.67391304 1.68060201 1.68729097 1.69397993
 1.7006689  1.70735786 1.71404682 1.72073579 1.72742475 1.73411371
 1.74080268 1.74749164 1.7541806  1.76086957 1.76755853 1.77424749
 1.78093645 1.78762542 1.79431438 1.80100334 1.80769231 1.81438127
 1.82107023 1.8277592  1.83444816 1.84113712 1.84782609 1.85451505
 1.86120401 1.86789298 1.87458194 1.8812709  1.88795987 1.89464883
 1.90133779 1.90802676 1.91471572 1.92140468 1.92809365 1.93478261
 1.94147157 1.94816054 1.9548495  1.96153846 1.96822742 1.97491639
 1.98160535 1.98829431 1.99498328 2.00167224 2.0083612  2.01505017
 2.02173913 2.02842809 2.03511706 2.04180602 2.04849498 2.05518395
 2.06187291 2.06856187 2.07525084 2.0819398  2.08862876 2.09531773
 2.10200669 2.10869565 2.11538462 2.12207358 2.12876254 2.13545151
 2.14214047 2.14882943 2.15551839 2.16220736 2.16889632 2.17558528
 2.18227425 2.18896321 2.19565217 2.20234114 2.2090301  2.21571906
 2.22240803 2.22909699 2.23578595 2.24247492 2.24916388 2.25585284
 2.26254181 2.26923077 2.27591973 2.2826087  2.28929766 2.29598662
 2.30267559 2.30936455 2.31605351 2.32274247 2.32943144 2.3361204
 2.34280936 2.34949833 2.35618729 2.36287625 2.36956522 2.37625418
 2.38294314 2.38963211 2.39632107 2.40301003 2.409699   2.41638796
 2.42307692 2.42976589 2.43645485 2.44314381 2.44983278 2.45652174
 2.4632107  2.46989967 2.47658863 2.48327759 2.48996656 2.49665552
 2.50334448 2.51003344 2.51672241 2.52341137 2.53010033 2.5367893
 2.54347826 2.55016722 2.55685619 2.56354515 2.57023411 2.57692308
 2.58361204 2.590301   2.59698997 2.60367893 2.61036789 2.61705686
 2.62374582 2.63043478 2.63712375 2.64381271 2.65050167 2.65719064
 2.6638796  2.67056856 2.67725753 2.68394649 2.69063545 2.69732441
 2.70401338 2.71070234 2.7173913  2.72408027 2.73076923 2.73745819
 2.74414716 2.75083612 2.75752508 2.76421405 2.77090301 2.77759197
 2.78428094 2.7909699  2.79765886 2.80434783 2.81103679 2.81772575
 2.82441472 2.83110368 2.83779264 2.84448161 2.85117057 2.85785953
 2.86454849 2.87123746 2.87792642 2.88461538 2.89130435 2.89799331
 2.90468227 2.91137124 2.9180602  2.92474916 2.93143813 2.93812709
 2.94481605 2.95150502 2.95819398 2.96488294 2.97157191 2.97826087
 2.98494983 2.9916388  2.99832776 3.00501672 3.01170569 3.01839465
 3.02508361 3.03177258 3.03846154 3.0451505  3.05183946 3.05852843
 3.06521739 3.07190635 3.07859532 3.08528428 3.09197324 3.09866221
 3.10535117 3.11204013 3.1187291  3.12541806 3.13210702 3.13879599
 3.14548495 3.15217391 3.15886288 3.16555184 3.1722408  3.17892977
 3.18561873 3.19230769 3.19899666 3.20568562 3.21237458 3.21906355
 3.22575251 3.23244147 3.23913043 3.2458194  3.25250836 3.25919732
 3.26588629 3.27257525 3.27926421 3.28595318 3.29264214 3.2993311
 3.30602007 3.31270903 3.31939799 3.32608696 3.33277592 3.33946488
 3.34615385 3.35284281 3.35953177 3.36622074 3.3729097  3.37959866
 3.38628763 3.39297659 3.39966555 3.40635452 3.41304348 3.41973244
 3.4264214  3.43311037 3.43979933 3.44648829 3.45317726 3.45986622
 3.46655518 3.47324415 3.47993311 3.48662207 3.49331104 3.5       ]
   proba_tot: [0.00000000e+00 0.00000000e+00 0.00000000e+00 0.00000000e+00
 0.00000000e+00 0.00000000e+00 0.00000000e+00 0.00000000e+00
 0.00000000e+00 0.00000000e+00 0.00000000e+00 0.00000000e+00
 0.00000000e+00 0.00000000e+00 0.00000000e+00 0.00000000e+00
 0.00000000e+00 0.00000000e+00 0.00000000e+00 0.00000000e+00
 0.00000000e+00 0.00000000e+00 0.00000000e+00 0.00000000e+00
 0.00000000e+00 0.00000000e+00 0.00000000e+00 0.00000000e+00
 4.47502603e-36 1.64797202e-34 4.30934700e-33 1.12872036e-31
 2.69143117e-30 5.91248561e-29 1.19840316e-27 2.24586836e-26
 3.89056634e-25 6.23105700e-24 9.22726791e-23 1.26354938e-21
 1.60018698e-20 1.87440956e-19 2.03111608e-18 2.03633006e-17
 1.88919995e-16 1.62220015e-15 1.28948515e-14 9.49099307e-14
 6.46992180e-13 4.08600917e-12 2.39137364e-11 1.29746102e-10
 6.52844219e-10 3.04778480e-09 1.32079267e-08 5.31625503e-08
 1.98873459e-07 6.91936511e-07 2.24098331e-06 6.76257489e-06
 1.90356183e-05 5.00444029e-05 1.23058671e-04 2.83507814e-04
 6.13120833e-04 1.24738700e-03 2.39329853e-03 4.34232155e-03
 7.47279103e-03 1.22373861e-02 1.91349073e-02 2.86698075e-02
 4.13058024e-02 5.74201741e-02 7.72635909e-02 1.00928227e-01
 1.28326280e-01 1.59181765e-01 1.93039218e-01 2.29291969e-01
 2.67229319e-01 3.06097396e-01 3.45164537e-01 3.83780552e-01
 4.21420584e-01 4.57708073e-01 4.92415936e-01 5.25449393e-01
 5.56816574e-01 5.86594038e-01 6.14893551e-01 6.41834702e-01
 6.67525639e-01 6.92052236e-01 7.15474453e-01 7.37827959e-01
 7.59128865e-01 7.79379764e-01 7.98575725e-01 8.16709467e-01
 8.33775334e-01 8.49772052e-01 8.64704407e-01 8.78584047e-01
 8.91429643e-01 9.03266607e-01 9.14126508e-01 9.24046311e-01
 9.33067510e-01 9.41235222e-01 9.48597273e-01 9.55203302e-01
 9.61103908e-01 9.66349845e-01 9.70991285e-01 9.75077132e-01
 9.78654419e-01 9.81767747e-01 9.84458805e-01 9.86765926e-01
 9.88723699e-01 9.90362609e-01 9.91708713e-01 9.92783328e-01
 9.93602733e-01 9.94177875e-01 9.94514077e-01 9.94610737e-01
 9.94461037e-01 9.94051646e-01 9.93362445e-01 9.92366271e-01
 9.91028709e-01 9.89307940e-01 9.87154685e-01 9.84512256e-01
 9.81316745e-01 9.77497390e-01 9.72977128e-01 9.67673376e-01
 9.61499042e-01 9.54363796e-01 9.46175591e-01 9.36842443e-01
 9.26274444e-01 9.14385976e-01 9.01098105e-01 8.86341075e-01
 8.70056863e-01 8.52201698e-01 8.32748473e-01 8.11688963e-01
 7.89035750e-01 7.64823769e-01 7.39111397e-01 7.11981006e-01
 6.83538924e-01 6.53914766e-01 6.23260108e-01 5.91746517e-01
 5.59562953e-01 5.26912617e-01 4.94009301e-01 4.61073358e-01
 4.28327399e-01 3.95991865e-01 3.64280603e-01 3.33396595e-01
 3.03527996e-01 2.74844585e-01 2.47494775e-01 2.21603251e-01
 1.97269318e-01 1.74565988e-01 1.53539815e-01 1.34211463e-01
 1.16576936e-01 1.00609414e-01 8.62615767e-02 7.34683218e-02
 6.21497355e-02 5.22142083e-02 4.35615667e-02 3.60861144e-02
 2.96794851e-02 2.42332295e-02 1.96410769e-02 1.58008348e-02
 1.26159059e-02 9.99642477e-03 7.86003067e-03 6.13230416e-03
 4.74690853e-03 3.64548026e-03 2.77731711e-03 2.09891209e-03
 1.57337918e-03 1.16981256e-03 8.62615528e-04 6.30829141e-04
 4.57484134e-04 3.28993562e-04 2.34597831e-04 1.65868851e-04
 1.16275921e-04 8.08126801e-05 5.56820790e-05 3.80346800e-05
 2.57546341e-05 1.72872489e-05 1.15020571e-05 7.58558659e-06
 4.95852305e-06 3.21255885e-06 2.06287104e-06 1.31281178e-06
 8.27999246e-07 5.17538525e-07 3.20574771e-07 1.96779118e-07
 1.19696437e-07 7.21482692e-08 4.30926726e-08 2.55037752e-08
 1.49561605e-08 8.69044032e-09 5.00335379e-09 2.85410847e-09
 1.61310237e-09 9.03292136e-10 5.01143735e-10 2.75459242e-10
 1.50005369e-10 8.09290342e-11 4.32557581e-11 2.29044389e-11
 1.20150585e-11 6.24391792e-12 3.21446195e-12 1.63935921e-12
 8.28227824e-13 4.14505812e-13 2.05500086e-13 1.00922934e-13
 4.90975195e-14 2.36601185e-14 1.12942832e-14 5.34044888e-15
 2.50134974e-15 1.16050181e-15 5.33309238e-16 2.42776301e-16
 1.09461592e-16 4.88886464e-17 2.16255733e-17 9.47610309e-18
 4.11121571e-18 1.76812321e-18 7.51107549e-19 3.18128309e-19
 1.33052630e-19 5.48381728e-20 2.24568253e-20 9.14020325e-21
 3.52234790e-21 1.62343060e-21 4.14290641e-22 3.16110422e-22
 0.00000000e+00 0.00000000e+00 0.00000000e+00 0.00000000e+00
 0.00000000e+00 0.00000000e+00 0.00000000e+00 0.00000000e+00
 0.00000000e+00 0.00000000e+00 0.00000000e+00 0.00000000e+00
 0.00000000e+00 0.00000000e+00 0.00000000e+00 0.00000000e+00
 0.00000000e+00 0.00000000e+00 0.00000000e+00 0.00000000e+00
 0.00000000e+00 0.00000000e+00 0.00000000e+00 0.00000000e+00
 0.00000000e+00 0.00000000e+00 0.00000000e+00 0.00000000e+00
 0.00000000e+00 0.00000000e+00 0.00000000e+00 0.00000000e+00]

Figure:

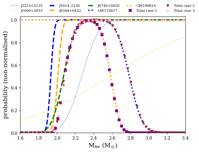
nuda.fig.astro_setupMtov_fig( None, sources_lo_all, sources_lo_dist, sources_up1, sources_up2, sources_up3 )
Plot name: None
sources removed from distribution: ['J2215+5135', 'J1600+3053']
Call average for source: GW170817
   hyps: [3, 4]
Call average for source: GW190814
   hyps: [1]
Call average for source: GW170817
   hyps: [3, 4]
Call average for source: GW190814
   hyps: [1]
Call average for source: GW170817
   hyps: [3, 4]
source: J2215+5135
source: J1600+3053
source: J1614–2230
source: J0348+0432
source: J0740+6620
source: GW170817
source: GW190814
../../_images/8187890d9b10a91d382a83a28a0d484b55a0d5078d972fa7b723aa34cb9bcd8d.png